降水可以提供日常生活所需的水资源,但过多的降水也可能引发灾害。降水量、降水强度和降水频率对生态系统、人类健康和社会经济系统都有重要影响。然而,由于降水的时空不连续性和反演的不确定性,利用卫星遥感估计降水仍然是一个重大挑战。现行的方法是融合近地轨道卫星的主动微波和被动微波观测以及静止卫星的红外观测,比如全球降水观测计划(GPM)提供最新的多卫星融合产品(IMERG)。

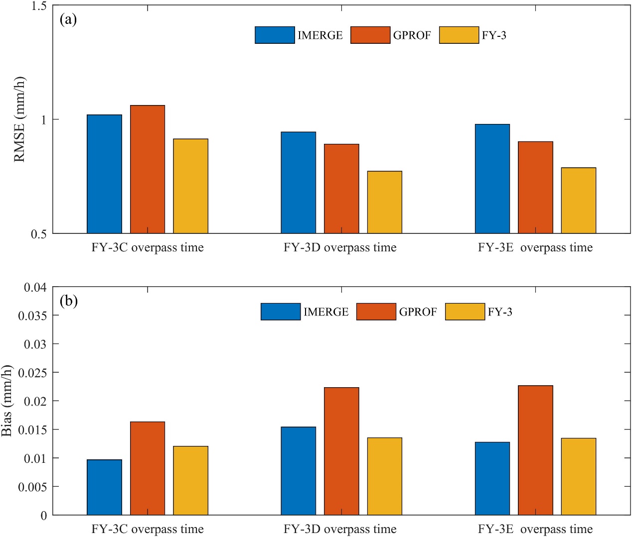
图1。全球降水任务综合多卫星反演(IMERG)、美国戈达德剖面算法(GPROF)和本文风云3号卫星(FY-3)降水反演小时降水产品与地基观测值的均方根误差(RMSE)(a)和偏差(b)。x轴上的FY-3C、FY-3D和FY-3E柱状图表示与FY-3卫星过境时间。
当缺乏高质量微波观测时,IMERG产品采用微波外推和红外降水反演来补充,导致产品精度降低,这一问题在早晨和傍晚最显著。微波外推的精度随着外推时间的增加而降低,同时由于红外降水只能通过云顶亮温来估算地面降水,它们之间的关系复杂且多变,另外地面降水与云顶特征存在时间差位,因此红外降水反演精度低且位相不一致。为了解决这一问题,本文利用搭载在风云三号卫星上的微波湿度计和微波温度计观测来估计降水。
被动微波辐射计接收到的信号是来自地表和降水粒子的混合信息,因此反演算法的核心是分离出降水粒子的信号。本研究开发了基于自组织映射神经网络加人工神经网络的被动微波降水反演算法。自组织映射神经网络可以根据下垫面条件等辅助变量对输入微波亮温进行分类,以减少在不同地表条件下识别降水信号的难度。人工神经网络有着优异的非线性拟合能力,可以将聚类后的微波亮温与降水率和降水相态联系起来。利用IMERG降水产品对该反演算法进行训练,通过辐射传输模拟来补充强降水样本,解决了强降水样本不足导致的强降水反演不准确的问题。之后把这一反演算法应用于FY-3C、3D和3E,并以全球约4400地面观测站雨量计小时观测作为基准进行了精度检验。

图2。是否融合FY-3降水反演的全球降水任务综合多卫星检索(IMERG)数据集的测量数据相比,日均方根误差(RMSE)和偏差(Bias)。由上至下,子图显示了全球(a,b)、北美(c,d)、欧洲(e,f)和中国(g,h)地区的平均结果。背景颜色表示FY-3C(红色)、FY-3D(绿色)和FY-3E(淡紫色)的观测(深色)和外推(浅色)时间。蓝线和红线分别表示包含和不包含FY-3反演的结果。
FY-3C、FY-3D和FY-3E的均方根误差比IMERG分别降低约9.9%、18%和19.5%。来自风云卫星的高质量被动微波降水产品可以弥补IMERG产品中被动微波观测的空缺。在合并FY-3和IMERG数据后,高质量被动微波数据占总数据的比例大幅提高,可以将早晨和傍晚的被动微波数据源占比由20%提升至50%,使被动微波数据比例稳定在约50%。融合风云3号极地轨道卫星降水反演后,全球降水量的均方根误差降低了16%,偏差减少了32%,降水强度偏差减少了63%,降水频率偏差在地方时09:00-12:00时段改善明显。降水检测的准确性和误报率也有明显改善。新的全球降水融合数据可公开访问下载。
该研究以“Global precipitation from FY-3 polar orbit satellites”为题发表于Science Bulletin。文章第一作者为赵润泽博士,地表过程与资源生态国家重点实验室为该文第一署名单位,北京大学碳中和研究院王开存教授为论文的通讯作者。该研究得到了国家重点研发计划、国家自然科学基金等项目的支持。
论文下载地址:https://doi.org/10.1016/j.scib.2024.05.007
数据下载地址:https://doi.org/10.11888/Atmos.tpdc.301183